Официальное опубликование правовых актов
ОФИЦИАЛЬНОЕ ОПУБЛИКОВАНИЕ
Приказ Комитета по охране объектов культурного наследия Курской области от 28.03.2022 № 05/4-08/234
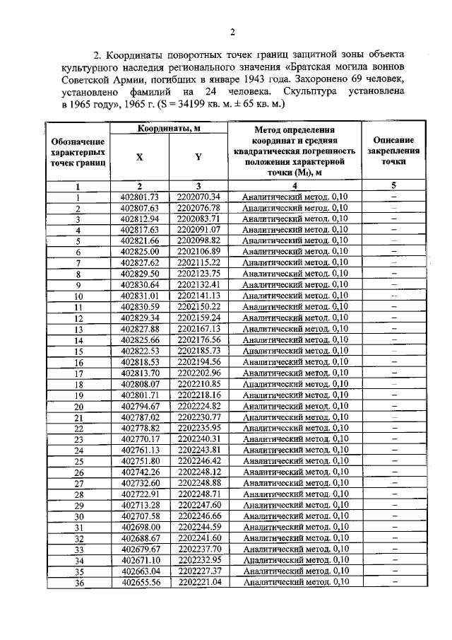
"Об утверждении графического описания местоположения границ защитной зоны объекта культурного наследия регионального значения "Братская могила воинов Советской Армии, погибших в январе 1943 года. Захоронено 69 человек, установлено фамилий на 24 человека. Скульптура установлена в 1965 году", 1965 г. (Курская область, Горшеченский район, с. Богатырево)"
Номер опубликования: 4601202204040020
Дата опубликования: 04.04.2022
Страница №4 из 6:
Увеличить