Приказ Комитета по охране объектов культурного наследия Курской области от 28.03.2022 № 05.4-08/237
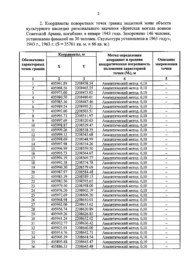
"Об утверждении графического описания местоположения границ защитной зоны объекта культурного наследия регионального значения "Братская могила воинов Советской Армии, погибших в январе 1943 года. Захоронено 146 человек, установлено фамилий на 30 человек. Скульптура установлена в 1963 году", 1943 г., 1963 г. (Курская область, Горшеченский район, село Быково)"
"Об утверждении графического описания местоположения границ защитной зоны объекта культурного наследия регионального значения "Братская могила воинов Советской Армии, погибших в январе 1943 года. Захоронено 146 человек, установлено фамилий на 30 человек. Скульптура установлена в 1963 году", 1943 г., 1963 г. (Курская область, Горшеченский район, село Быково)"
Номер опубликования: 4601202204040018
Дата опубликования:
04.04.2022
