Официальное опубликование правовых актов
ОФИЦИАЛЬНОЕ ОПУБЛИКОВАНИЕ
Приказ Комитета по охране объектов культурного наследия Курской области от 28.03.2022 № 05.4-08/239
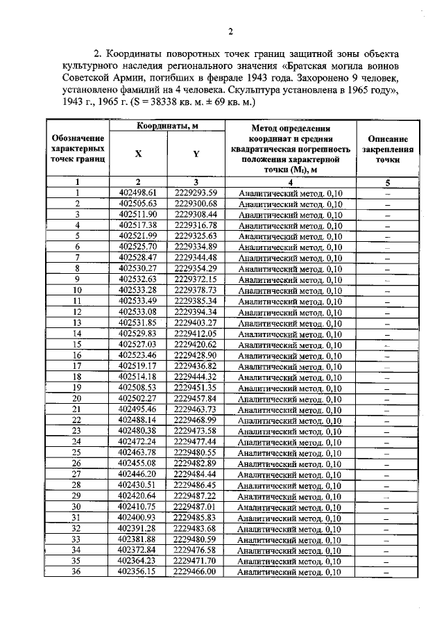
"Об утверждении графического описания местоположения границ защитной зоны объекта культурного наследия регионального значения "Братская могила воинов Советской Армии, погибших в феврале 1943 года. Захоронено 9 человек, установлено фамилий на 4 человека. Скульптура установлена в 1965 году", 1943 г., 1965 г. (Курская область, Горшеченский район, с. Кулевка)"
Номер опубликования: 4601202204040017
Дата опубликования: 04.04.2022
Страница №4 из 6:
Увеличить