Официальное опубликование правовых актов
ОФИЦИАЛЬНОЕ ОПУБЛИКОВАНИЕ
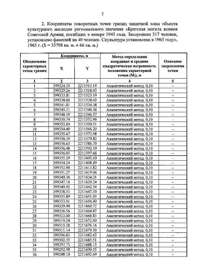
Приказ Комитета по охране объектов культурного наследия Курской области от 28.03.2022 № 05.4-08/238
"Об утверждении графического описания местоположения границ защитной зоны объекта культурного наследия регионального значения "Братская могила воинов Советской Армии, погибших в январе 1943 года. Захоронено 317 человек, установлено фамилий на 40 человек. Скульптура установлена в 1965 году", 1965 г. (Курская область, Горшеченский район, с. Ключ)"
Номер опубликования: 4601202204040016
Дата опубликования: 04.04.2022
Страница №4 из 7:
Увеличить