Приказ Комитета по охране объектов культурного наследия Курской области от 28.03.2022 № 05.4-08/240
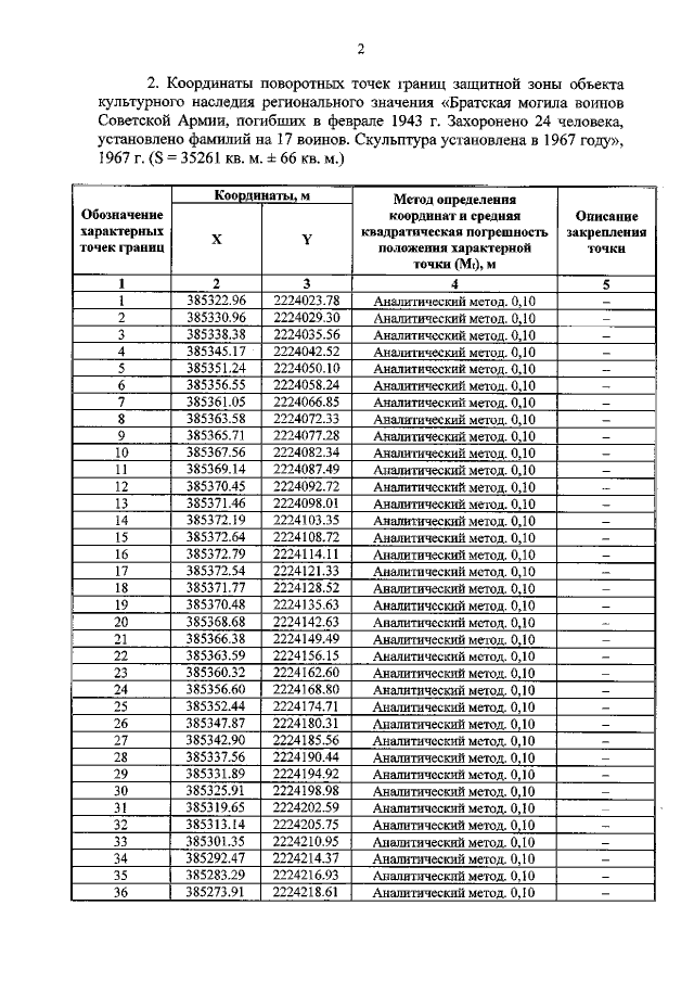
"Об утверждении графического описания местоположения границ защитной зоны объекта культурного наследия регионального значения "Братская могила воинов Советской Армии, погибших в феврале 1943 г. Захоронено 24 человека, установлено фамилий на 17 воинов. Скульптура установлена в 1967 году", 1967 г. (Курская область, Горшеченский район, с. Нижние Борки Нижнеборковского сельсовета (у сельского клуба)"
"Об утверждении графического описания местоположения границ защитной зоны объекта культурного наследия регионального значения "Братская могила воинов Советской Армии, погибших в феврале 1943 г. Захоронено 24 человека, установлено фамилий на 17 воинов. Скульптура установлена в 1967 году", 1967 г. (Курская область, Горшеченский район, с. Нижние Борки Нижнеборковского сельсовета (у сельского клуба)"
Номер опубликования: 4601202204040015
Дата опубликования:
04.04.2022
