Официальное опубликование правовых актов
ОФИЦИАЛЬНОЕ ОПУБЛИКОВАНИЕ
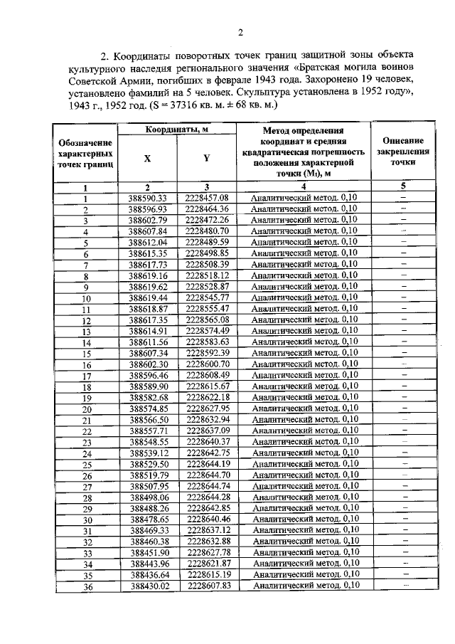
Приказ Комитета по охране объектов культурного наследия Курской области от 28.03.2022 № 05.4-08/243
"Об утверждении графического описания местоположения границ защитной зоны объекта культурного наследия регионального значения "Братская могила воинов Советской Армии, погибших в феврале 1943 года. Захоронено 19 человек, установлено фамилий на 5 человек. Скульптура установлена в 1952 году", 1943 г., 1952 год (Курская область, Горшеченский район, село Сосновка)"
Номер опубликования: 4601202204040014
Дата опубликования: 04.04.2022
Страница №4 из 6:
Увеличить