Официальное опубликование правовых актов
ОФИЦИАЛЬНОЕ ОПУБЛИКОВАНИЕ
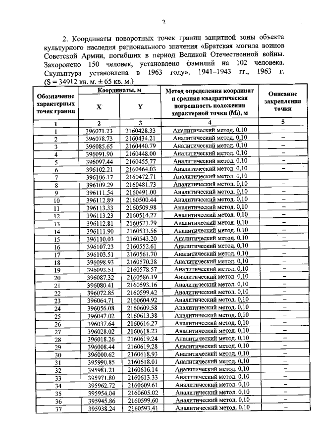
Приказ Комитета по охране объектов культурного наследия Курской области от 22.03.2022 № 05.4-08/199
"Об утверждении графического описания местоположения границ защитной зоны объекта культурного наследия регионального значения "Братская могила воинов Советской Армии, погибших в период Великой Отечественной войны. Захоронено 150 человек, установлено фамилий на 102 человека. Скульптура установлена в 1963 году", 1941–1943 гг., 1963 г. (Курская область, Мантуровский район, село Пузачи (в центре села)"
Номер опубликования: 4601202203300024
Дата опубликования: 30.03.2022
Страница №4 из 6:
Увеличить