Официальное опубликование правовых актов
ОФИЦИАЛЬНОЕ ОПУБЛИКОВАНИЕ
Приказ Комитета по охране объектов культурного наследия Курской области от 22.03.2022 № 05.4-08/206
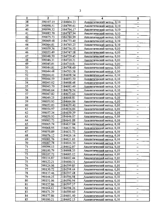
"Об утверждении графического описания местоположения границ защитной зоны объекта культурного наследия регионального значения "Братская могила воинов Советской Армии, погибших в период Великой Отечественной войны. Захоронено 347 человек, установлено фамилий на 137 человек. Скульптура установлена в 1965 году", 1941–1945 гг., 1965 г. (Курская область, Мантуровский район, село Ястребовка (в центре села)"
Номер опубликования: 4601202203300021
Дата опубликования: 30.03.2022
Страница №5 из 7:
Увеличить