Официальное опубликование правовых актов
ОФИЦИАЛЬНОЕ ОПУБЛИКОВАНИЕ
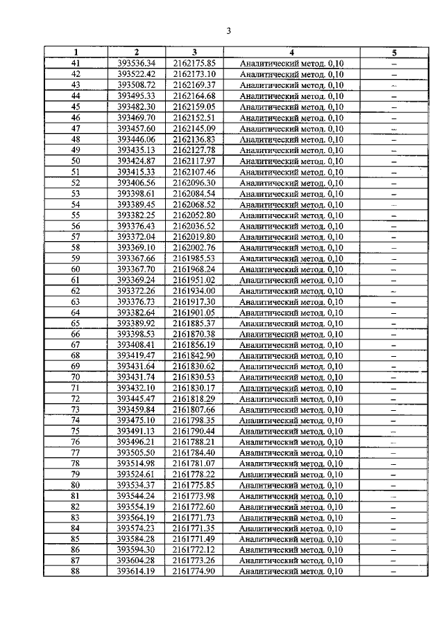
Приказ Комитета по охране объектов культурного наследия Курской области от 22.03.2022 № 05.4-08/205
"Об утверждении графического описания местоположения границ защитной зоны объекта культурного наследия регионального значения "Братская могила 83 советских воинов", 1943 г. (Курская область, Мантуровский район, у перекрестка дорог Курск – Мантурово – Губкин)"
Номер опубликования: 4601202203300020
Дата опубликования: 30.03.2022
Страница №4 из 6:
Увеличить