Официальное опубликование правовых актов
ОФИЦИАЛЬНОЕ ОПУБЛИКОВАНИЕ
Приказ Комитета по охране объектов культурного наследия Курской области от 22.03.2022 № 05.4-08/201
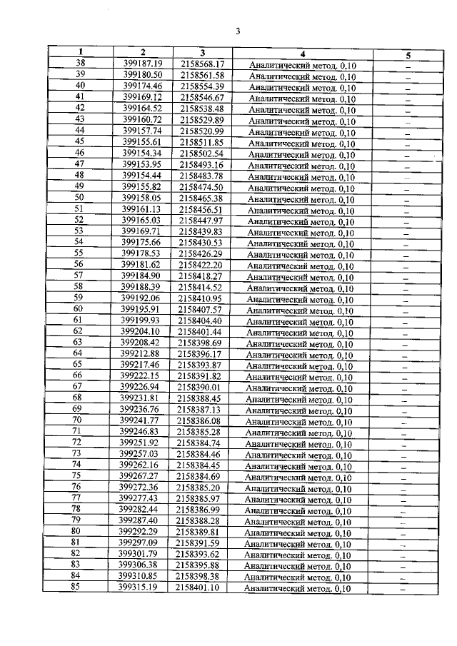
"Об утверждении графического описания местоположения границ защитной зоны объекта культурного наследия регионального значения "Братская могила воинов Советской Армии, погибших в период Великой Отечественной войны. Захоронено и установлено фамилий 13–ти человек. Скульптура установлена в 1966 году", 1941–1945 гг., 1966 г. (Курская область, Мантуровский район, село Роговое (на восточной окраине села)"
Номер опубликования: 4601202203300019
Дата опубликования: 30.03.2022
Страница №5 из 7:
Увеличить