Официальное опубликование правовых актов
ОФИЦИАЛЬНОЕ ОПУБЛИКОВАНИЕ
Приказ Комитета по охране объектов культурного наследия Курской области от 22.03.2022 № 05.4-08/208
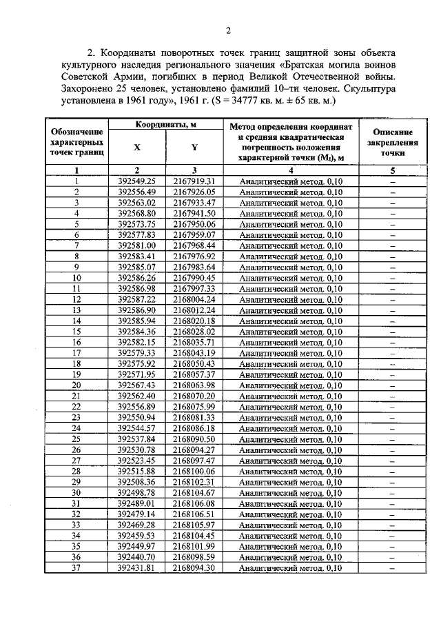
"Об утверждении графического описания местоположения границ защитной зоны объекта культурного наследия регионального значения "Братская могила воинов Советской Армии, погибших в период Великой Отечественной войны. Захоронено 25 человек, установлено фамилий 10–ти человек. Скульптура установлена в 1961 году", 1961 г. (Курская область, Мантуровский район, село Репецкая Плата (у здания сельсовета)"
Номер опубликования: 4601202203300018
Дата опубликования: 30.03.2022
Страница №4 из 6:
Увеличить