Официальное опубликование правовых актов
ОФИЦИАЛЬНОЕ ОПУБЛИКОВАНИЕ
Приказ Комитета по охране объектов культурного наследия Курской области от 22.03.2022 № 05.4-08/202
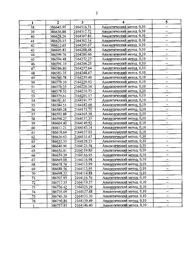
"Об утверждении графического описания местоположения границ защитной зоны объекта культурного наследия регионального значения "Братская могила воинов Советской Армии, погибших в период Великой Отечественной войны. Захоронено и установлено фамилии 30–ти человек. Скульптура установлена в 1959 году", 1959 год (Курская область, Мантуровский район, с. Останино (в центре села)"
Номер опубликования: 4601202203300017
Дата опубликования: 30.03.2022
Страница №5 из 6:
Увеличить