Официальное опубликование правовых актов
ОФИЦИАЛЬНОЕ ОПУБЛИКОВАНИЕ
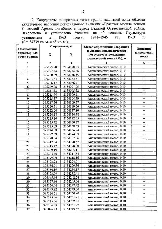
Приказ Комитета по охране объектов культурного наследия Курской области от 10.03.2022 № 05.4-08/149
"Об утверждении графического описания местоположения границ защитной зоны объекта культурного наследия регионального значения "Братская могила воинов Советской Армии, погибших в период Великой Отечественной войны. Захоронено и установлено фамилий на 40 человек. Скульптура установлена в 1963 году", 1941–1945 гг., 1963 г. (Курская область, Мантуровский район, с. 1-е Засеймье (в центре села)"
Номер опубликования: 4601202203170006
Дата опубликования: 17.03.2022
Страница №4 из 7:
Увеличить