Официальное опубликование правовых актов
ОФИЦИАЛЬНОЕ ОПУБЛИКОВАНИЕ
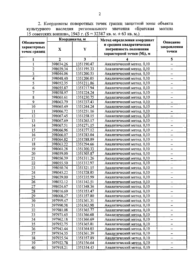
Приказ Комитета по охране объектов культурного наследия Курской области от 10.03.2022 № 05.4-08/143
"Об утверждении графического описания местоположения границ защитной зоны объекта культурного наследия регионального значения "Братская могила 15 советских воинов", 1943 г. (Курская область, Солнцевский район, д. Ниженка)"
Номер опубликования: 4601202203170002
Дата опубликования: 17.03.2022
Страница №3 из 6:
Увеличить