Официальное опубликование правовых актов
ОФИЦИАЛЬНОЕ ОПУБЛИКОВАНИЕ
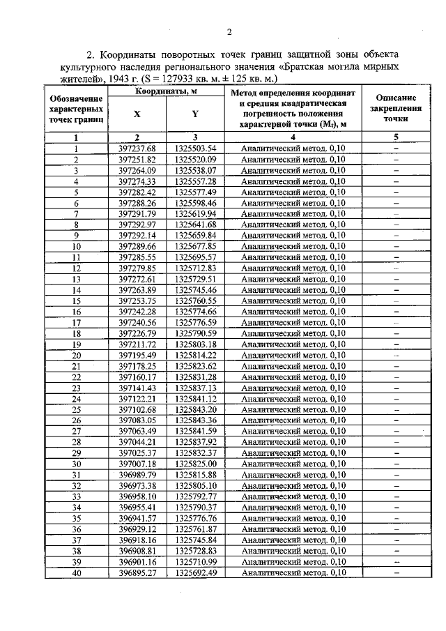
Приказ Комитета по охране объектов культурного наследия Курской области от 10.03.2022 № 05.4-08/144
"Об утверждении графического описания местоположения границ защитной зоны объекта культурного наследия регионального значения "Братская могила мирных жителей", 1943 г.(Курская область, Солнцевский район, х. Сорочино)"
Номер опубликования: 4601202203170001
Дата опубликования: 17.03.2022
Страница №3 из 5:
Увеличить