Официальное опубликование правовых актов
ОФИЦИАЛЬНОЕ ОПУБЛИКОВАНИЕ
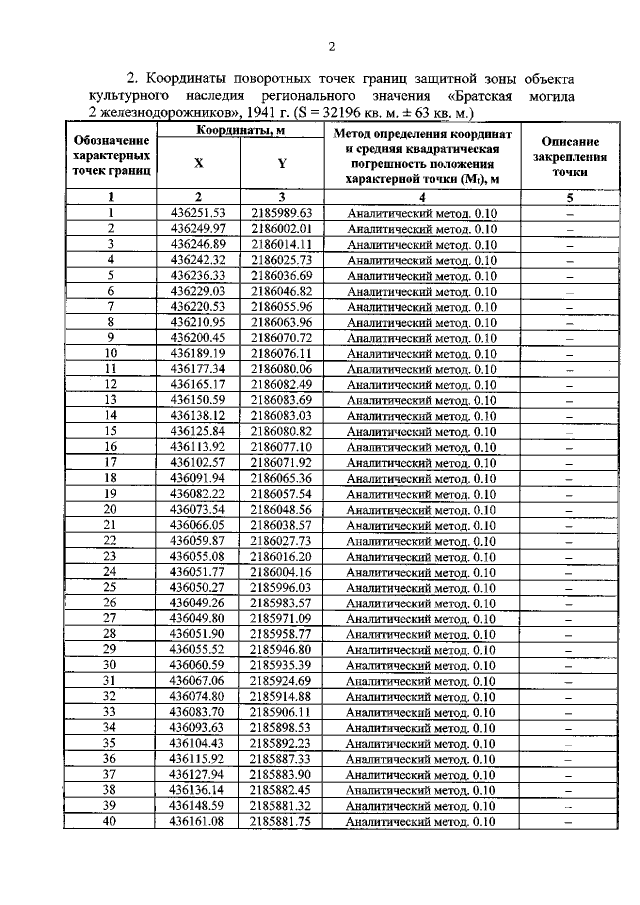
Приказ Комитета по охране объектов культурного наследия Курской области от 09.03.2022 № 05.4-08/139
"Об утверждении графического описания местоположения границ защитной зоны объекта культурного наследия регионального значения "Братская могила 2 железнодорожников", 1941 г.(Курская область, Советский район, ж.д. станция Мармыжи)"
Номер опубликования: 4601202203160004
Дата опубликования: 16.03.2022
Страница №3 из 5:
Увеличить