Официальное опубликование правовых актов
ОФИЦИАЛЬНОЕ ОПУБЛИКОВАНИЕ
Приказ Комитета по охране объектов культурного наследия Курской области от 16.02.2022 № 05.4-08/92
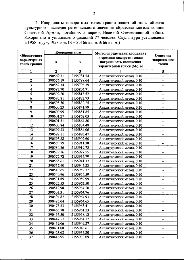
"Об утверждении графического описания местоположения границ защитной зоны объекта культурного наследия регионального значения "Братская могила воинов Советской Армии, погибших в период Великой Отечественной войны. Захоронено и установлено фамилий 77 человек. Скульптура установлена в 1958 году", 1958 год (Курская область, Мантуровский район, село Мантурово (в центре села, в парке)"
Номер опубликования: 4601202202220005
Дата опубликования: 22.02.2022
Страница №4 из 6:
Увеличить