Официальное опубликование правовых актов
ОФИЦИАЛЬНОЕ ОПУБЛИКОВАНИЕ
Приказ Комитета по охране объектов культурного наследия Курской области от 16.02.2022 № 05.4-08/94
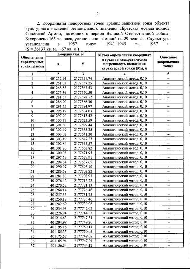
"Об утверждении графического описания местоположения границ защитной зоны объекта культурного наследия регионального значения "Братская могила воинов Советской Армии, погибших в период Великой Отечественной войны. Захоронено 165 человек, установлено фамилий на 29 человек. Скульптура установлена в 1957 году", 1941–1945 гг., 1957 г. (Курская область, Мантуровский район, село Безлепкино (на западной окраине села)"
Номер опубликования: 4601202202220004
Дата опубликования: 22.02.2022
Страница №4 из 6:
Увеличить