Приказ Комитета по охране объектов культурного наследия Курской области от 16.02.2022 № 05.4-08/90
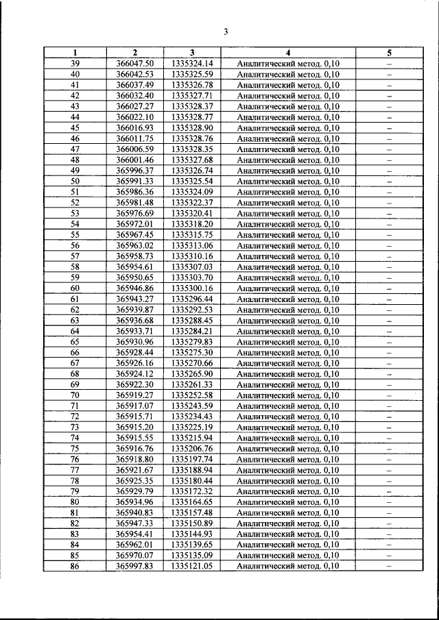
"Об утверждении графического описания местоположения границ защитной зоны объекта культурного наследия регионального значения "Братская могила воинов Советской Армии, погибших в период Великой Отечественной войны. Количество захороненных не установлено. Скульптура установлена в 1972 г.", 1941–1945 гг., 1972 г. (Курская область, Пристенский район, пос. Пристень (во дворе средней школы)"
"Об утверждении графического описания местоположения границ защитной зоны объекта культурного наследия регионального значения "Братская могила воинов Советской Армии, погибших в период Великой Отечественной войны. Количество захороненных не установлено. Скульптура установлена в 1972 г.", 1941–1945 гг., 1972 г. (Курская область, Пристенский район, пос. Пристень (во дворе средней школы)"
Номер опубликования: 4601202202180016
Дата опубликования:
18.02.2022
