Официальное опубликование правовых актов
ОФИЦИАЛЬНОЕ ОПУБЛИКОВАНИЕ
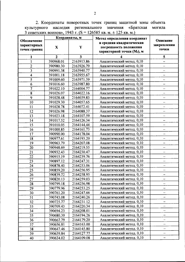
Приказ Комитета по охране объектов культурного наследия Курской области от 16.02.2022 № 05.4-08/91
"Об утверждении графического описания местоположения границ защитной зоны объекта культурного наследия регионального значения "Братская могила 3 советских воинов", 1943 г. (Курская область, Мантуровский район, х. Лобовы Дворы (в лесу)"
Номер опубликования: 4601202202160001
Дата опубликования: 16.02.2022
Страница №3 из 5:
Увеличить