Приказ Комитета по охране объектов культурного наследия Курской области от 08.02.2022 № 05.4-08/62
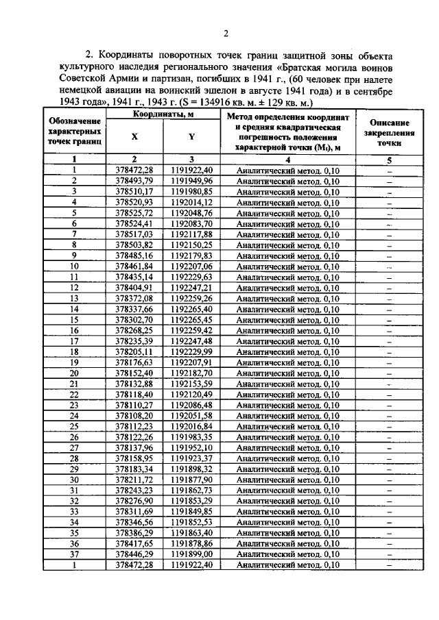
"О внесении изменений в приказ комитета по охране объектов культурного наследия Курской области от 17.06.2021 № 01.1-08/183 "Об утверждении графического описания местоположения границ защитной зоны объекта культурного наследия регионального значения "Братская могила воинов Советской Армии и партизан, погибших в 1941 г., (60 человек при налете немецкой авиации на воинский эшелон в августе 1941 года) и в сентябре 1943 года", 1941 г., 1943 г. (Курская область, Глушковский район, пос. Глушково)"
"О внесении изменений в приказ комитета по охране объектов культурного наследия Курской области от 17.06.2021 № 01.1-08/183 "Об утверждении графического описания местоположения границ защитной зоны объекта культурного наследия регионального значения "Братская могила воинов Советской Армии и партизан, погибших в 1941 г., (60 человек при налете немецкой авиации на воинский эшелон в августе 1941 года) и в сентябре 1943 года", 1941 г., 1943 г. (Курская область, Глушковский район, пос. Глушково)"
Номер опубликования: 4601202202150001
Дата опубликования:
15.02.2022
