Официальное опубликование правовых актов
ОФИЦИАЛЬНОЕ ОПУБЛИКОВАНИЕ
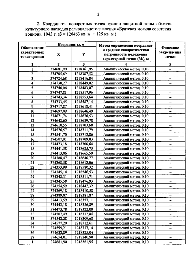
Приказ Комитета по охране объектов культурного наследия Курской области от 07.02.2022 № 05.4-08/61
"О внесении изменений в приказ комитета по охране объектов культурного наследия Курской области от 29.07.2021 № 01.1-08/281 "Об утверждении графического описания местоположения границ защитной зоны объекта культурного наследия регионального значения "Братская могила советских воинов", 1943 г.(Курская область, Кореневский район, с. Любимовка)"
Номер опубликования: 4601202202140001
Дата опубликования: 14.02.2022
Страница №3 из 3:
Увеличить