Официальное опубликование правовых актов
ОФИЦИАЛЬНОЕ ОПУБЛИКОВАНИЕ
Приказ Комитета по охране объектов культурного наследия Курской области от 02.02.2022 № 05.4-08/47
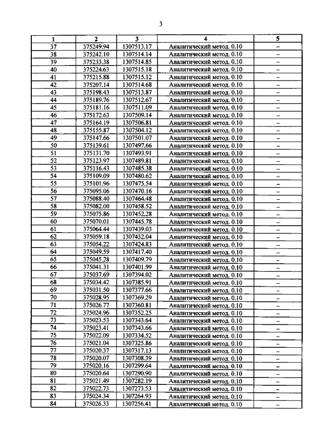
"Об утверждении графического описания местоположения границ защитной зоны объекта культурного наследия регионального значения "Братская могила воинов Советской Армии, погибших в период Великой Отечественной войны. Захоронено 206 человек, установлено фамилий на 83 человека. Скульптура установлена в 1963 году", 1941 – 1945 гг. (Курская область, Обоянский район, с. Котельниково)"
Номер опубликования: 4601202202110021
Дата опубликования: 11.02.2022
Страница №4 из 7:
Увеличить