Официальное опубликование правовых актов
ОФИЦИАЛЬНОЕ ОПУБЛИКОВАНИЕ
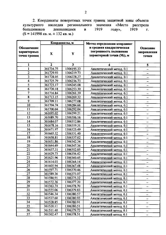
Приказ Комитета по охране объектов культурного наследия Курской области от 02.02.2022 № 05.4-08/46
"Об утверждении графического описания местоположения границ защитной зоны объекта культурного наследия регионального значения "Место расстрела большевиков деникинцами в 1919 году", 1919 г. (Курская область, Обоянский район, г. Обоянь, ул. Луначарского, квартал № 87)"
Номер опубликования: 4601202202110020
Дата опубликования: 11.02.2022
Страница №3 из 7:
Увеличить