Официальное опубликование правовых актов
ОФИЦИАЛЬНОЕ ОПУБЛИКОВАНИЕ
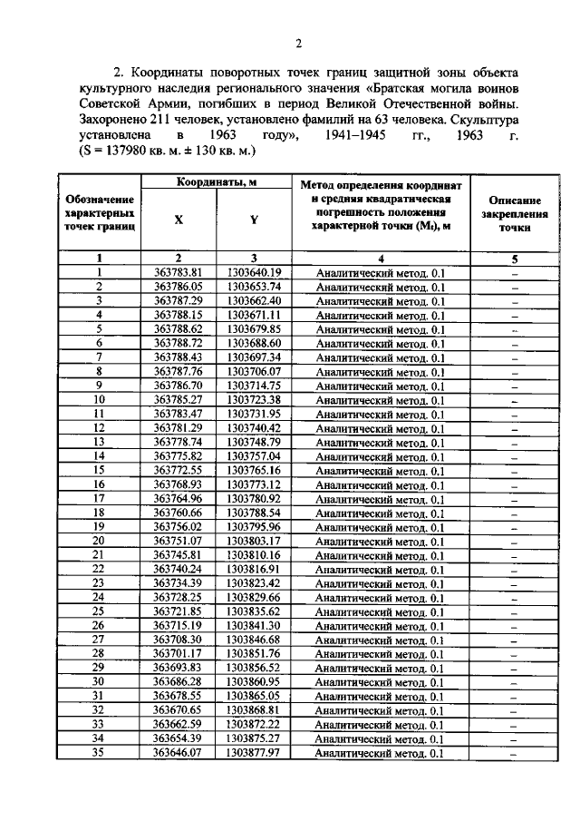
Приказ Комитета по охране объектов культурного наследия Курской области от 02.02.2022 № 05.4-08/55
"Об утверждении графического описания местоположения границ защитной зоны объекта культурного наследия регионального значения "Братская могила воинов Советской Армии, погибших в период Великой Отечественной войны. Захоронено 211 человек, установлено фамилий на 63 человека. Скульптура установлена в 1963 году", 1941–1945 гг., 1963 г.(Курская область, Обоянский район, город Обоянь, ул. Мирная, 50, западнее восьмилетней школы № 3)"
Номер опубликования: 4601202202110019
Дата опубликования: 11.02.2022
Страница №4 из 8:
Увеличить