Официальное опубликование правовых актов
ОФИЦИАЛЬНОЕ ОПУБЛИКОВАНИЕ
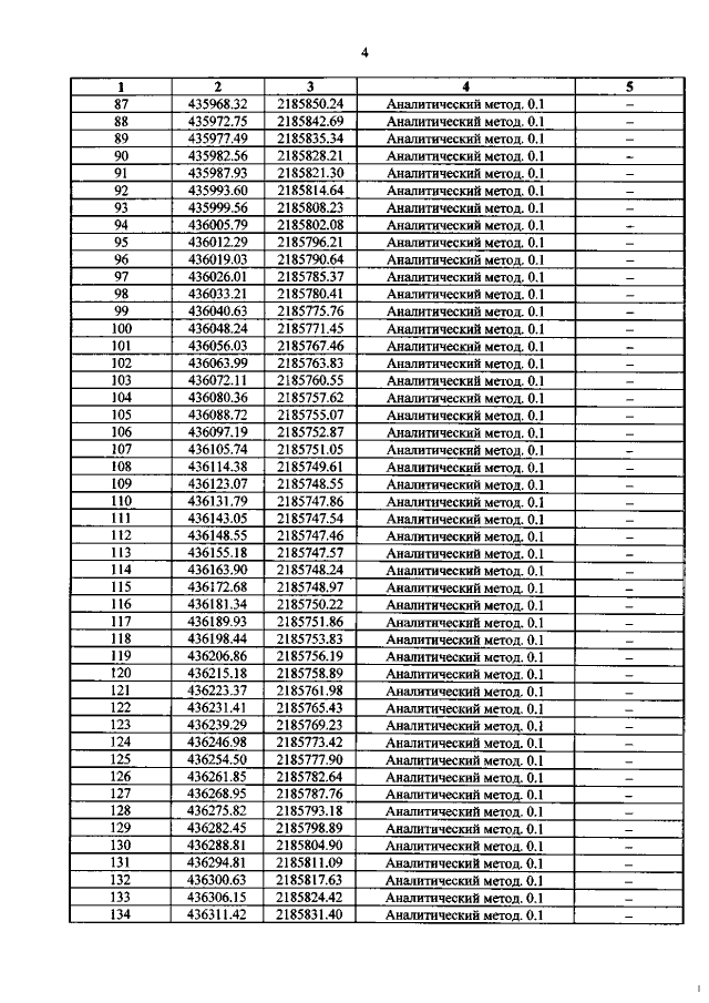
Приказ Комитета по охране объектов культурного наследия Курской области от 02.02.2022 № 05.4-08/39
"Об утверждении графического описания местоположения границ защитной зоны объекта культурного наследия регионального значения "Братская могила 2 железнодорожников", 1941 г. (Курская область, Советский район, ж.д. станция Мармыжи)"
Номер опубликования: 4601202202110013
Дата опубликования: 11.02.2022
Страница №5 из 7:
Увеличить