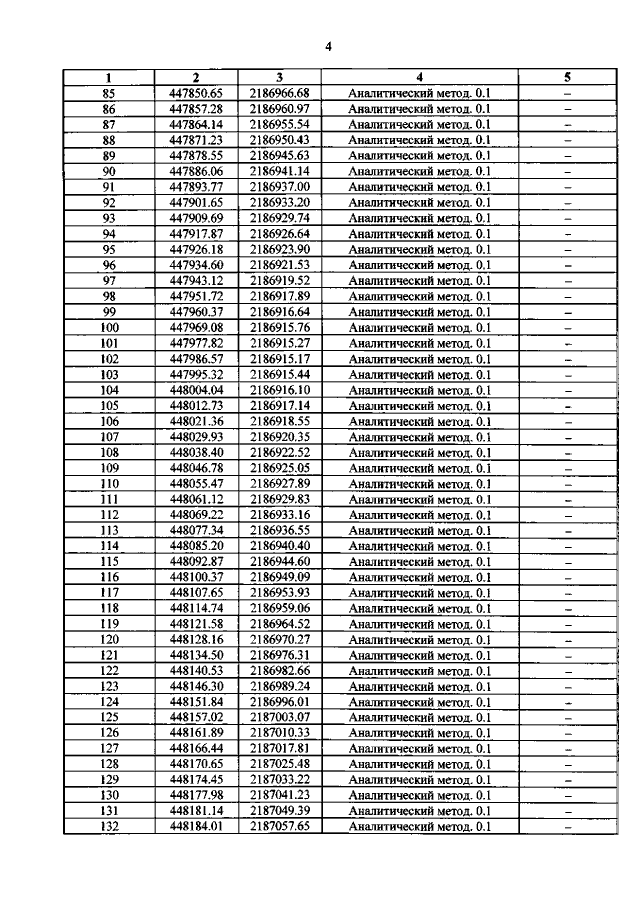
Приказ Комитета по охране объектов культурного наследия Курской области от 02.02.2022 № 05.4-08/38
"Об утверждении графического описания местоположения границ защитной зоны объекта культурного наследия регионального значения "Братская могила советских воинов, погибших в боях с фашистскими захватчиками в 1942 г.", 1942 г. (Курская область, Советский район, с. Ледовское)"
"Об утверждении графического описания местоположения границ защитной зоны объекта культурного наследия регионального значения "Братская могила советских воинов, погибших в боях с фашистскими захватчиками в 1942 г.", 1942 г. (Курская область, Советский район, с. Ледовское)"
Номер опубликования: 4601202202110008
Дата опубликования:
11.02.2022
