Официальное опубликование правовых актов
ОФИЦИАЛЬНОЕ ОПУБЛИКОВАНИЕ
Приказ Комитета по охране объектов культурного наследия Курской области от 02.02.2022 № 05.4-08/36
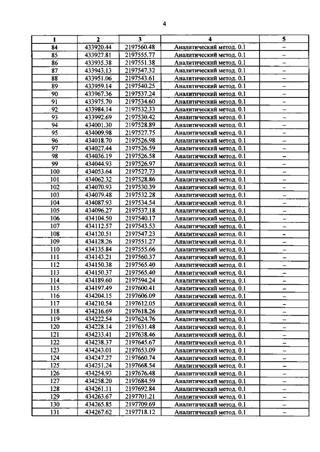
"Об утверждении графического описания местоположения границ защитной зоны объекта культурного наследия регионального значения "Братская могила воинов Советской Армии, погибших в период Великой Отечественной войны. Захоронено 900 человек, установлено фамилий на 264 человека. Скульптура установлена в 1952 году", 1952 год (Курская область, Советский район, с. Кшень (на привокзальной площади)"
Номер опубликования: 4601202202110004
Дата опубликования: 11.02.2022
Страница №6 из 8:
Увеличить