Приказ Комитета по охране объектов культурного наследия Курской области от 02.02.2022 № 05.4-08/45
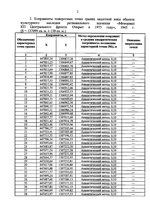
"Об утверждении графического описания местоположения границ защитной зоны объекта культурного наследия регионального значения "Мемориал КП Центрального фронта. Открыт в 1973 году", 1943 г. (Курская область, Золотухинский район, Свободинский сельсовет, м. Свобода, ул. Советская, д. 32)"
"Об утверждении графического описания местоположения границ защитной зоны объекта культурного наследия регионального значения "Мемориал КП Центрального фронта. Открыт в 1973 году", 1943 г. (Курская область, Золотухинский район, Свободинский сельсовет, м. Свобода, ул. Советская, д. 32)"
Номер опубликования: 4601202202110003
Дата опубликования:
11.02.2022
