Официальное опубликование правовых актов
ОФИЦИАЛЬНОЕ ОПУБЛИКОВАНИЕ
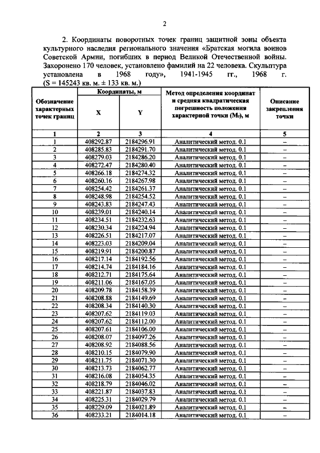
Приказ Комитета по охране объектов культурного наследия Курской области от 02.02.2022 № 05.4-08/37
"Об утверждении графического описания местоположения границ защитной зоны объекта культурного наследия регионального значения "Братская могила воинов Советской Армии, погибших в период Великой Отечественной войны. Захоронено 170 человек, установлено фамилий на 22 человека. Скульптура установлена в 1968 году", 1941-1945 гг., 1968 г. (Курская область, Советский район, дер. Ефросимовка (на северной окраине деревни)"
Номер опубликования: 4601202202110002
Дата опубликования: 11.02.2022
Страница №4 из 8:
Увеличить