Официальное опубликование правовых актов
ОФИЦИАЛЬНОЕ ОПУБЛИКОВАНИЕ
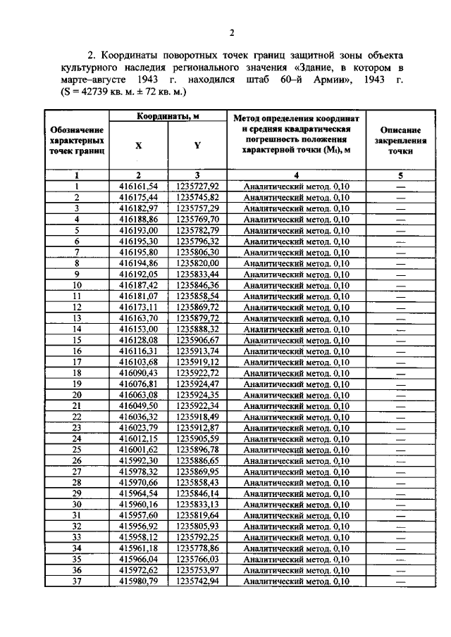
Приказ Комитета по охране объектов культурного наследия Курской области от 01.02.2022 № 05.4-08/28
"Об утверждении графического описания местоположения границ защитной зоны объекта культурного наследия регионального значения "Здание, в котором в марте–августе 1943 г. находился штаб 60–й Армии", 1943 г. (Курская область, г. Льгов, ул. Черняховского, 49)"
Номер опубликования: 4601202202080019
Дата опубликования: 08.02.2022
Страница №3 из 5:
Увеличить