Официальное опубликование правовых актов
ОФИЦИАЛЬНОЕ ОПУБЛИКОВАНИЕ
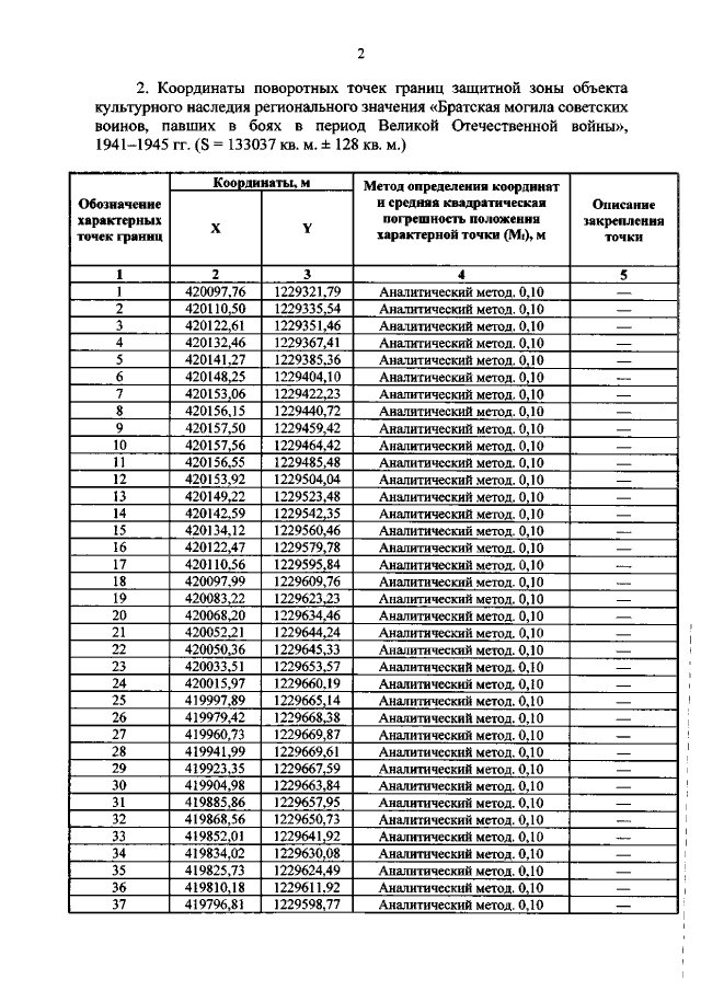
Приказ Комитета по охране объектов культурного наследия Курской области от 01.02.2022 № 05.4-08/33
"Об утверждении графического описания местоположения границ защитной зоны объекта культурного наследия регионального значения "Братская могила советских воинов, павших в боях в период Великой Отечественной войны", 1941–1945 гг. (Курская область, Льговский район, село Кудинцево (у памятника землякам, не вернувшимся с фронтов Великой Отечественной войны)"
Номер опубликования: 4601202202080017
Дата опубликования: 08.02.2022
Страница №3 из 5:
Увеличить