Официальное опубликование правовых актов
ОФИЦИАЛЬНОЕ ОПУБЛИКОВАНИЕ
Приказ Комитета по охране объектов культурного наследия Курской области от 01.02.2022 № 05.4-08/19
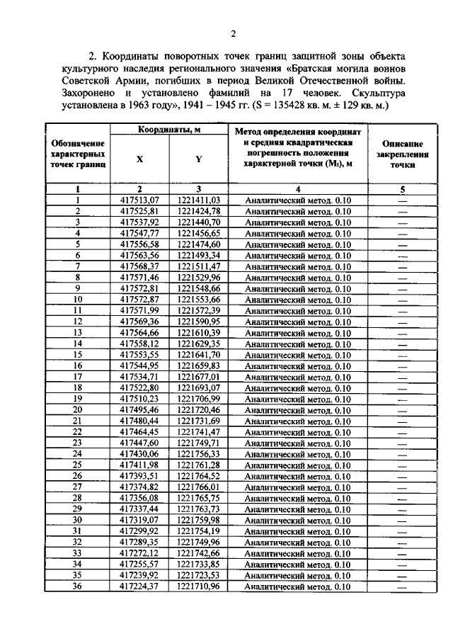
"Об утверждении графического описания местоположения границ защитной зоны объекта культурного наследия регионального значения "Братская могила воинов Советской Армии, погибших в период Великой Отечественной войны. Захоронено и установлено фамилий на 17 человек. Скульптура установлена в 1963 году", 1941 – 1945 гг. (Курская область, Льговский район, село Банищи)"
Номер опубликования: 4601202202080014
Дата опубликования: 08.02.2022
Страница №3 из 5:
Увеличить