Официальное опубликование правовых актов
ОФИЦИАЛЬНОЕ ОПУБЛИКОВАНИЕ
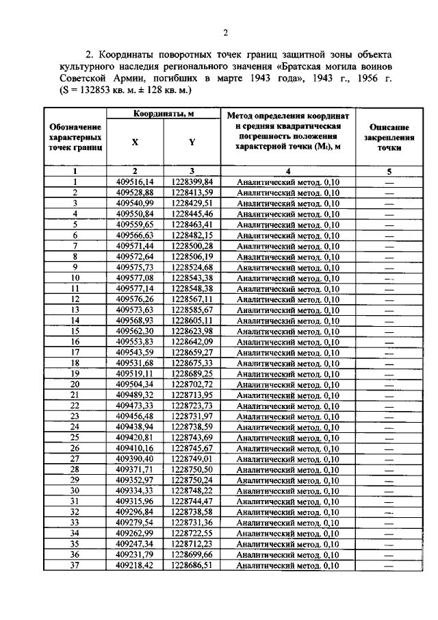
Приказ Комитета по охране объектов культурного наследия Курской области от 01.02.2022 № 05.4-08/23
"Об утверждении графического описания местоположения границ защитной зоны объекта культурного наследия регионального значения "Братская могила воинов Советской Армии, погибших в марте 1943 года", 1943 г., 1956 г. (Курская область, Льговский район, п. Селекционный, ул. Садовая, д. 9)"
Номер опубликования: 4601202202080012
Дата опубликования: 08.02.2022
Страница №3 из 5:
Увеличить