Официальное опубликование правовых актов
ОФИЦИАЛЬНОЕ ОПУБЛИКОВАНИЕ
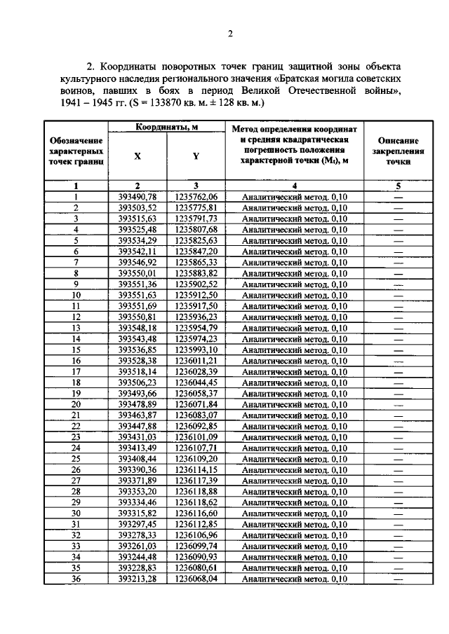
Приказ Комитета по охране объектов культурного наследия Курской области от 01.02.2022 № 05.4-08/17
"Об утверждении графического описания местоположения границ защитной зоны объекта культурного наследия регионального значения "Братская могила советских воинов, павших в боях в период Великой Отечественной войны", 1941 – 1945 гг. (Курская область, Льговский район, село Кром – Быки)"
Номер опубликования: 4601202202080011
Дата опубликования: 08.02.2022
Страница №3 из 5:
Увеличить