Официальное опубликование правовых актов
ОФИЦИАЛЬНОЕ ОПУБЛИКОВАНИЕ
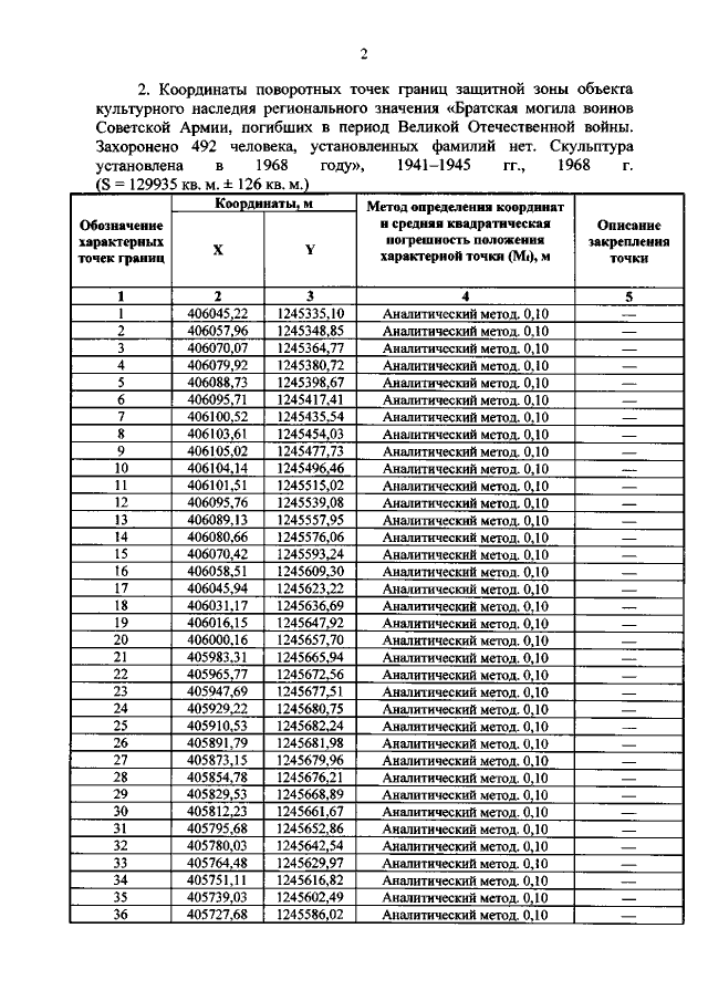
Приказ Комитета по охране объектов культурного наследия Курской области от 01.02.2022 № 05.4-08/18
"Об утверждении графического описания местоположения границ защитной зоны объекта культурного наследия регионального значения "Братская могила воинов Советской Армии, погибших в период Великой Отечественной войны. Захоронено 492 человека, установленных фамилий нет. Скульптура установлена в 1968 году", 1941–1945 гг., 1968 г. (Курская область, Льговский район, село Большие Угоны (у железнодорожного моста)"
Номер опубликования: 4601202202080009
Дата опубликования: 08.02.2022
Страница №3 из 5:
Увеличить