Приказ Комитета по охране объектов культурного наследия Курской области от 01.02.2022 № 05.4-08/27
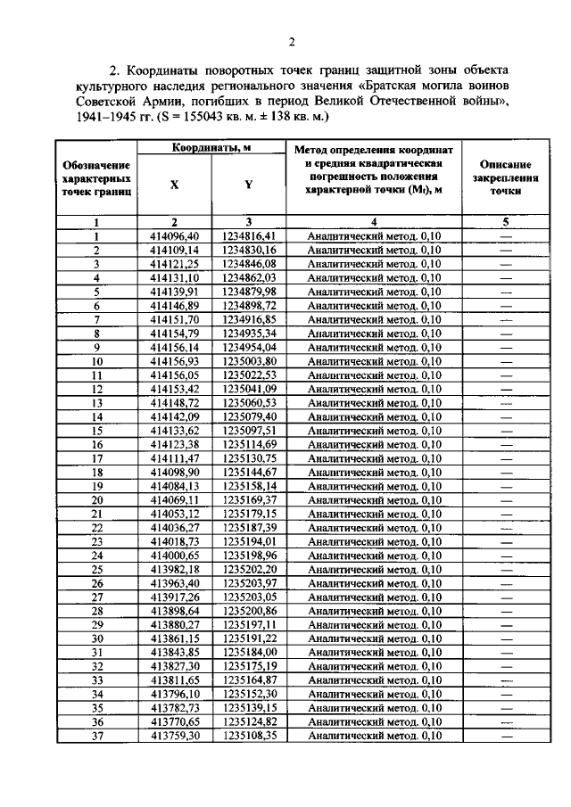
"Об утверждении графического описания местоположения границ защитной зоны объекта культурного наследия регионального значения "Братская могила воинов Советской Армии, погибших в период Великой Отечественной войны", 1941–1945 гг. (Курская область, г. Льгов, ул. Зеленая, воинское кладбище на территории лесхоза)"
"Об утверждении графического описания местоположения границ защитной зоны объекта культурного наследия регионального значения "Братская могила воинов Советской Армии, погибших в период Великой Отечественной войны", 1941–1945 гг. (Курская область, г. Льгов, ул. Зеленая, воинское кладбище на территории лесхоза)"
Номер опубликования: 4601202202080008
Дата опубликования:
08.02.2022
