Официальное опубликование правовых актов
ОФИЦИАЛЬНОЕ ОПУБЛИКОВАНИЕ
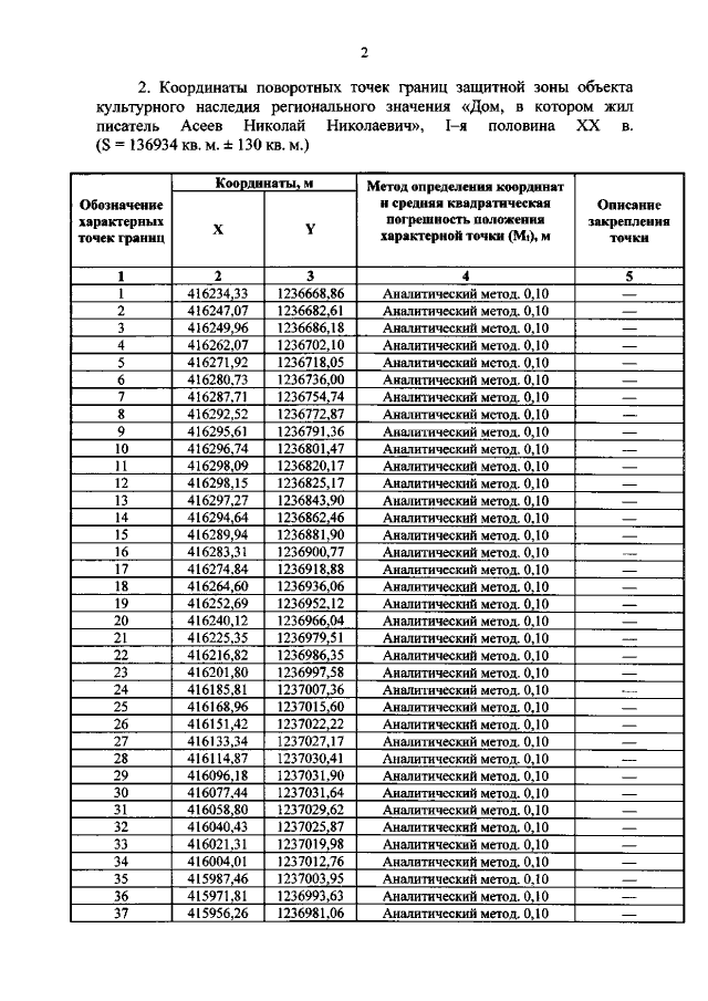
Приказ Комитета по охране объектов культурного наследия Курской области от 01.02.2022 № 05.4-08/30
"Об утверждении графического описания местоположения границ защитной зоны объекта культурного наследия регионального значения "Дом, в котором жил писатель Асеев Николай Николаевич", I–я половина XX в. (Курская область, г. Льгов, ул. Асеева, 7)"
Номер опубликования: 4601202202080007
Дата опубликования: 08.02.2022
Страница №3 из 5:
Увеличить