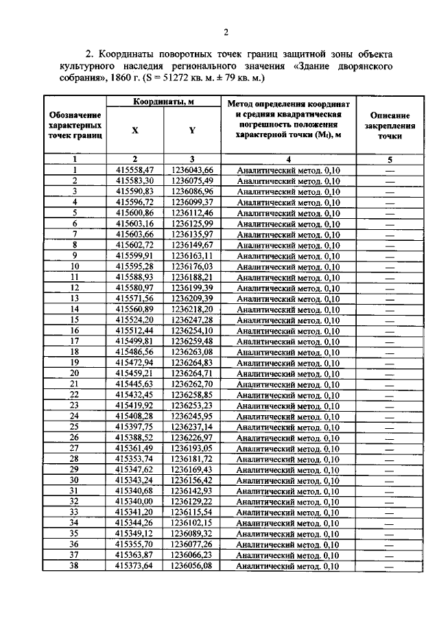
Приказ Комитета по охране объектов культурного наследия Курской области от 01.02.2022 № 05.4-08/29
"Об утверждении графического описания местоположения границ защитной зоны объекта культурного наследия регионального значения "Здание дворянского собрания", 1860 г. (Курская область, г. Льгов, ул. Советская, 2)"
"Об утверждении графического описания местоположения границ защитной зоны объекта культурного наследия регионального значения "Здание дворянского собрания", 1860 г. (Курская область, г. Льгов, ул. Советская, 2)"
Номер опубликования: 4601202202080005
Дата опубликования:
08.02.2022
