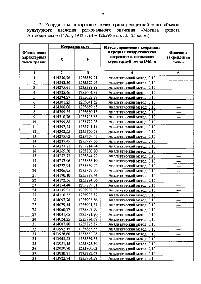
Приказ Комитета по охране объектов культурного наследия Курской области от 01.02.2022 № 05.4-08/25
"Об утверждении графического описания местоположения границ защитной зоны объекта культурного наследия регионального значения "Могила артиста Артоболевского Г.А.", 1943 г. (Курская область, Льговский район, г. Льгов, ул. Красная, д. 108)"
"Об утверждении графического описания местоположения границ защитной зоны объекта культурного наследия регионального значения "Могила артиста Артоболевского Г.А.", 1943 г. (Курская область, Льговский район, г. Льгов, ул. Красная, д. 108)"
Номер опубликования: 4601202202080002
Дата опубликования:
08.02.2022
