Официальное опубликование правовых актов
ОФИЦИАЛЬНОЕ ОПУБЛИКОВАНИЕ
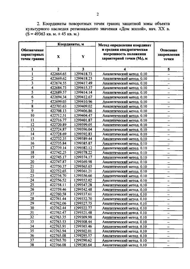
Приказ Комитета по охране объектов культурного наследия Курской области от 24.01.2022 № 05.4-08/10
"Об утверждении графического описания местоположения границ защитной зоны объекта культурного наследия регионального значения "Дом жилой", нач. XX в.(Курская область, г. Курск, ул. Ленина, 95)"
Номер опубликования: 4601202201280012
Дата опубликования: 28.01.2022
Страница №3 из 7:
Увеличить