Официальное опубликование правовых актов
ОФИЦИАЛЬНОЕ ОПУБЛИКОВАНИЕ
Приказ Комитета по охране объектов культурного наследия Курской области от 24.01.2022 № 05.4-08/2
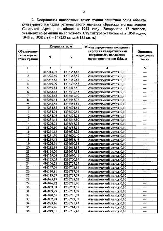
"Об утверждении графического описания местоположения границ защитной зоны объекта культурного наследия регионального значения "Братская могила воинов Советской Армии, погибших в 1943 году. Захоронено 17 человек, установлено фамилий на 15 человек. Скульптура установлена в 1958 году", 1943 г., 1958 г. (Курская область, гор. Льгов, Красная площадь)"
Номер опубликования: 4601202201280007
Дата опубликования: 28.01.2022
Страница №3 из 5:
Увеличить