Приказ Комитета по охране объектов культурного наследия Курской области от 24.01.2022 № 05.4-08/4
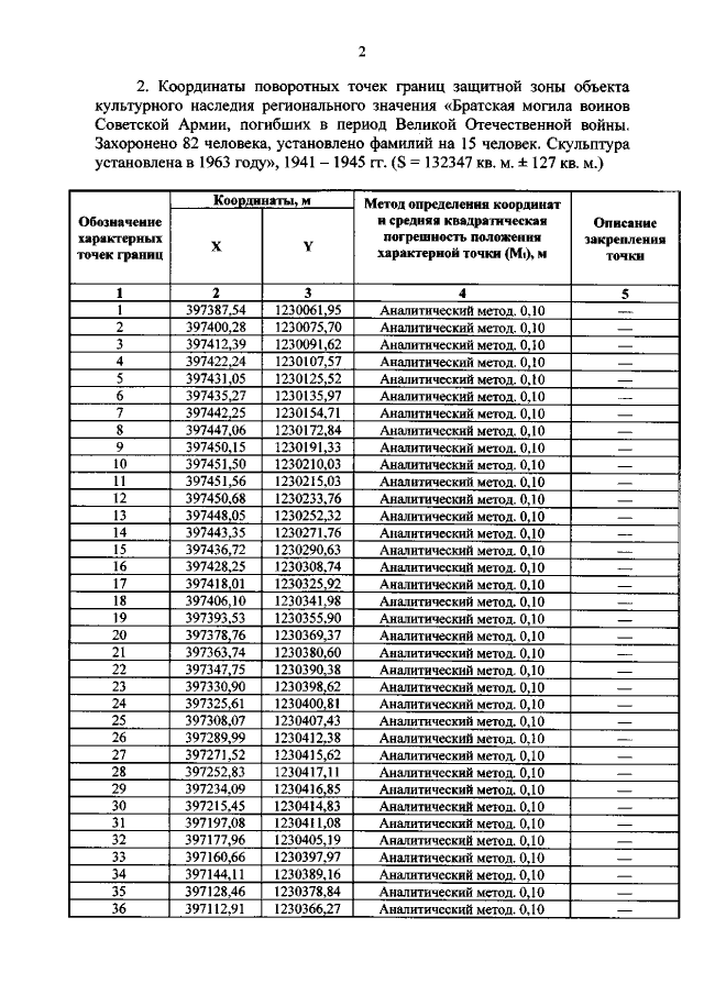
"Об утверждении графического описания местоположения границ защитной зоны объекта культурного наследия регионального значения "Братская могила воинов Советской Армии, погибших в период Великой Отечественной войны. Захоронено 82 человека, установлено фамилий на 15 человек. Скульптура установлена в 1963 году", 1941 – 1945 гг. (Курская область, Льговский район, хут. Волжин)"
"Об утверждении графического описания местоположения границ защитной зоны объекта культурного наследия регионального значения "Братская могила воинов Советской Армии, погибших в период Великой Отечественной войны. Захоронено 82 человека, установлено фамилий на 15 человек. Скульптура установлена в 1963 году", 1941 – 1945 гг. (Курская область, Льговский район, хут. Волжин)"
Номер опубликования: 4601202201280005
Дата опубликования:
28.01.2022
