Официальное опубликование правовых актов
ОФИЦИАЛЬНОЕ ОПУБЛИКОВАНИЕ
Приказ Комитета по охране объектов культурного наследия Курской области от 24.01.2022 № 05.4-08/3
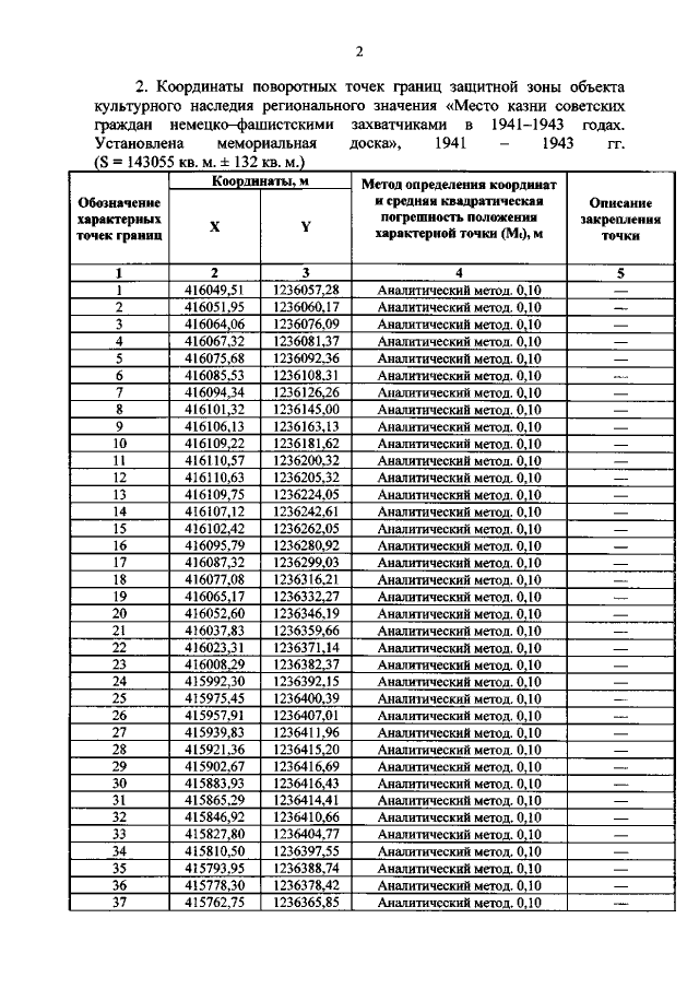
"Об утверждении графического описания местоположения границ защитной зоны объекта культурного наследия регионального значения "Место казни советских граждан немецко–фашистскими захватчиками в 1941–1943 годах. Установлена мемориальная доска", 1941 – 1943 гг. (Курская область, г. Льгов, ул. К. Маркса, д. 37)"
Номер опубликования: 4601202201280003
Дата опубликования: 28.01.2022
Страница №3 из 5:
Увеличить