Официальное опубликование правовых актов
ОФИЦИАЛЬНОЕ ОПУБЛИКОВАНИЕ
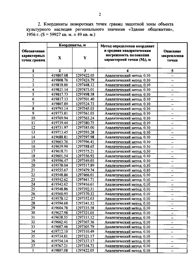
Приказ Комитета по охране объектов культурного наследия Курской области от 24.01.2022 № 05.4-08/6
"Об утверждении графического описания местоположения границ защитной зоны объекта культурного наследия регионального значения "Здание общежития", 1956 г. (Курская область, г. Курск, ул. Дзержинского, 90)"
Номер опубликования: 4601202201280001
Дата опубликования: 28.01.2022
Страница №3 из 4:
Увеличить