Официальное опубликование правовых актов
ОФИЦИАЛЬНОЕ ОПУБЛИКОВАНИЕ
Приказ Комитета по охране объектов культурного наследия Курской области от 24.12.2021 № 01.1-08/676
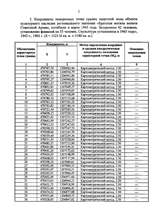
"Об утверждении графического описания местоположения границ защитной зоны объекта культурного наследия регионального значения "Братская могила воинов Советской Армии, погибших в марте 1943 года. Захоронено 42 человека, установлено фамилий на 35 человек. Скульптура установлена в 1965 году", 1943 г., 1965 г. (Курская область, Дмитриевский район, Поповкинский сельсовет, с. Погодино (вблизи от бывшего здания Погодинской основной общеобразовательной школы))"
Номер опубликования: 4601202112310007
Дата опубликования: 31.12.2021
Страница №4 из 6:
Увеличить