Официальное опубликование правовых актов
ОФИЦИАЛЬНОЕ ОПУБЛИКОВАНИЕ
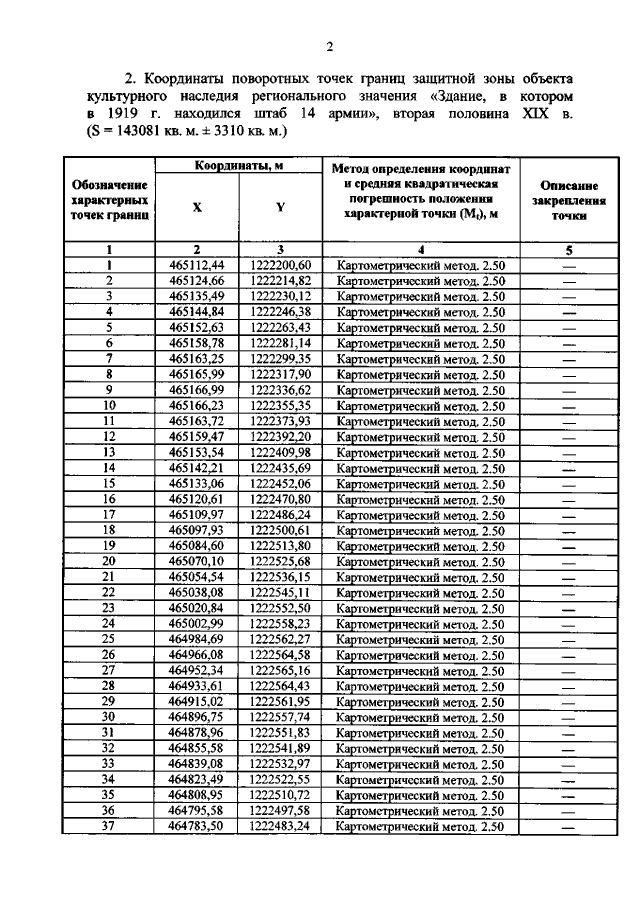
Приказ Комитета по охране объектов культурного наследия Курской области от 24.12.2021 № 01.1-08/678
"Об утверждении графического описания местоположения границ защитной зоны объекта культурного наследия регионального значения "Здание, в котором в 1919 г. находился штаб 14 армии", вторая половина XIX в. (Курская область, Дмитриевский район, г. Дмитриев, ул. Ленина, 47)"
Номер опубликования: 4601202112310005
Дата опубликования: 31.12.2021
Страница №3 из 5:
Увеличить