Официальное опубликование правовых актов
ОФИЦИАЛЬНОЕ ОПУБЛИКОВАНИЕ
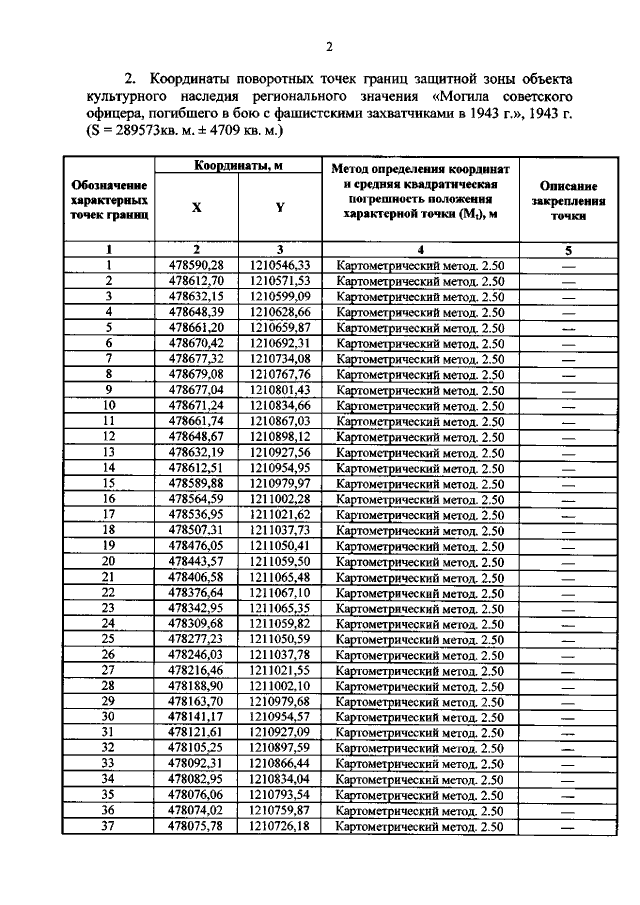
Приказ Комитета по охране объектов культурного наследия Курской области от 24.12.2021 № 01.1-08/679
"Об утверждении графического описания местоположения границ защитной зоны объекта культурного наследия регионального значения "Могила советского офицера, погибшего в бою с фашистскими захватчиками в 1943 г.", 1943 г. (Курская область, Дмитриевский район, блок-пост 499)"
Номер опубликования: 4601202112310003
Дата опубликования: 31.12.2021
Страница №3 из 5:
Увеличить