Официальное опубликование правовых актов
ОФИЦИАЛЬНОЕ ОПУБЛИКОВАНИЕ
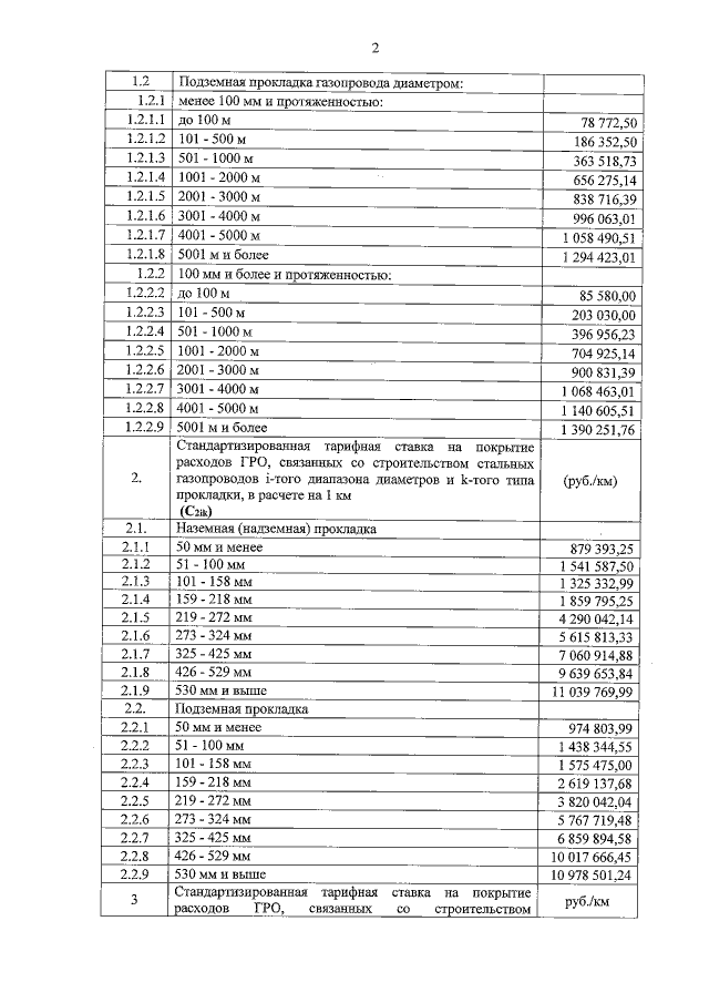
Постановление Комитета по тарифам и ценам Курской области от 24.12.2021 № 82
"Об установлении стандартизированных тарифных ставок, определяющих величину платы за технологическое присоединение газоиспользующего оборудования к газораспределительным сетям АО "Газпром газораспределение Курск" на 2022 год"
Номер опубликования: 4601202112290007
Дата опубликования: 29.12.2021
Страница №3 из 8:
Увеличить