Официальное опубликование правовых актов
ОФИЦИАЛЬНОЕ ОПУБЛИКОВАНИЕ
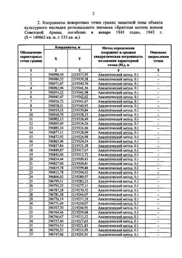
Приказ Комитета по охране объектов культурного наследия Курской области от 15.12.2021 № 01.1-08/639
"Об утверждении графического описания местоположения границ защитной зоны объекта культурного наследия регионального значения "Братская могила воинов Советской Армии, погибших в январе 1943 года", 1943 г. (Курская область, Горшеченский район, п. Горшечное)"
Номер опубликования: 4601202112230003
Дата опубликования: 23.12.2021
Страница №3 из 7:
Увеличить